清华大学高研院-物理系和两仪万象科技公司组成的原子阵列量子计算联合团队,由高研院冷原子研究组负责理论,物理系实验课题组负责实验,两仪万象科技公司负责产业化,“三架马车”紧密合作,整个联合团队已取得的代表性成果有:
无缺陷原子阵列的实现是原子量子计算中比特初始化的关键一步。该成果开发并实验实现了原子阵列快速重排算法,为高效实现原子比特的初始化提供了重要手段,获得了包括哈佛-麻省理工团队在内的国际同行的高度认可。

发表论文:Physical Review Applied, 19, 054032 (2023)
量子比特的数目是决定量子计算机性能的最为核心的指标之一。该成果发展了基于光学超表面的超大规模光镊阵列投射技术,为原子量子计算的比特数规模推进到万量级提供了重要的技术支撑。

发表论文:Chinese Physics Letters, 43 010606 (2026)
规范理论是理解自然界中相互作用力的最基础理论。该成果系统性地阐述了利用原子阵列中里德堡激发相互作用模拟规范理论的原理,推动基于原子阵列的量子模拟成为理解规范理论的新手段。

发表论文:Nature Review Physics, 6, 566 (2024);PRX Quantum, 3, 040317 (2022); Physical Review Research, 4, L032037 (2022)
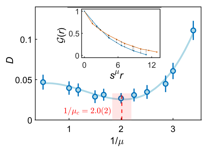
相变是自然界最常见也是最重要的物理现象之一。该成果提出了在原子阵列中实现新型超对称相变的方法,提出并实验实现了动力学探测相变临界行为的新方法,丰富了对相变的认识。

发表论文 Physical Review Letters, 135, 093403 (2025); Physical Review Letters, 133, 223401 (2024); Nature Communications, 16, 10584 (2025)
普适且完备的逻辑门的实现是通用容错量子计算的基础。该成果提出了充分利用原子平台的特点,实现完备的逻辑门的多种方法,对原子量子计算中容错量子算法的设计具有重要的指导意义。

发表论文:npj Quantum Information, 10, 136 (2024)